ZAG


H3–6
standby for zag photo
Fell August 4 or 5, 1998
~27° 20' N., 9° 20' W.

This fall was reportedly observed from a mountain near Zag, Morocco. A large quantity was imported by meteorite dealer A. Lang under the name Kem Kem, and about 175 kg has been distributed under the names Tan-Tan, Sagd, and Zag, with Zag becoming the official name. Zag is a gas-rich regolith breccia composed of both light and dark clasts (H6) within a gray clastic matrix (H3–4) containing chondrules. Components in Zag exhibit shock features ranging from S2 to S4, with bubbles of salty fluid inclusions entrained within xenolithic halite (NaCl) crystals found only in the H3–4 matrix component (Zolensky et al., 2013). Halite grains are also present in the H5 chondrite Monahans (1998), and both halite and sylvite are present in the H5-an chondrite Sidi El Habib 001 (see photo, courtesy of Laurence Garvie—ASU). In addition, halite and sylvite (µm- to sub-µm-sized) have been observed on the external surface of numerous particles returned from the S-type asteroid Itokawa by the Hayabusa spacecraft (Noguchi et al., 2014).

Xenolithic dark inclusions are present in both Zag and Monahans (1998), and analyses of the dark inclusions and the halite from both meteorites indicate the presence of abundant solid inclusions resolved as assemblages of silicates, oxides, phosphates, diamond, and zeolites (microporous aluminosilicates), along with associated µm-sized organic material including carbon compounds of aliphatic, aromatic/olefinic, vinyl-keto, carboxyl/ester, and carbonate groups (Zolensky et al., 2013, 2015; Kebukawa et al., 2014, 2016, 2019). Further detailed analyses of a portion of the dark inclusion were conducted by Kebukawa et al. (2017) and revealed the presence of very fine-grained (sub-µm-sized) primitive organics (high δ15N) which exhibit similarities to organic matter from Comet Wild 2 and/or insoluble organic matter from CR chondrites and Bells (CR2.4-an). Further detailed investigation of the organic matter in the Zag clast revealed significant similarities to the Tagish Lake meteorite, and they concluded that it likely originated from a D/P type asteroid (Kebukawa et al., 2020). In-depth analyses of the organic matter in the Zag and Monahans halite were conducted by Chan et al. (2018), and they found it to be nearly identical to the primitive CI/CM-like composition of dwarf planet 1 Ceres as determined by the Dawn spacecraft. In addition, they demonstrated that the amino acid abundances were significantly different between Zag halite and Zag matrix material, which attests to an exogenous source for the halite (see diagram below).

standby for zag amino acids diagram
Diagram credit: Chan et al., Science Advances, vol. 4, #1, (2018 open access link)
'Organic matter in extraterrestrial water-bearing salt crystals'
(https://dx.doi.org/10.1126/sciadv.aao3521)

A carbonaceous chondrite-like clast first identified in a Zag sample by O. Richard Norton has a mineralogy and an O-isotopic composition consistent with the CI chondrite group. However, it plots along an extension of the CI group with a high Δ17O of 1.41–1.49‰ and lies within the broad field of hydrated interplanetary dust particles (IDPs) (Zolensky et al., 2003; Zolensky et al., 2016; Kebukawa et al., 2019 [see O-isotopic diagrams]; Yesiltas et al., 2022 [see O-isotopic diagram]). This fine-grained CI-like clast is primarily composed of phyllosilicates, magnetite, and pyrrhotite, but is notable in that it contains 10µm-sized Na,K–Cl crystals as well as zoned carbonates (Zolensky et al., 2015). These carbonates are composed of Ca-carbonate overlying Mn-rich cores, and are surrounded by thin Na–Mg-rich rims. The association of these alkalis with the CI-like clast suggests a plausible source for the Zag (and Monahans) halite (Zolensky et al., 2015). Mineralogically similar CI-like clasts have been identified in the H5–6 Tsukuba and the H4–5 Carancas meteorites, but to date no presence of halite has been observed (Zolensky et al., 2016). It was posited that the halide salts were not formed in situ, but rather were incorporated along with the clastic matrix under low temperature conditions from other regions of the H chondrite parent body (Zolensky et al., 2000; Bridges et al., 2004). Contrariwise, Che and Zega (2022 #6012) analyzed the halides (halite and sylvite) in the H5-anomalous chondrite Sidi El Habib 001 and discovered a replacement texture that progresses in the following sequence: merrillite ⇒ Cl-apatite ⇒ halite. This is solid evidence for an in situ formation of halides through an aqueous alteration process. In addition, the observation that halite-free clasts are texturally equilibrated with the matrix could be evidence that halides formed prior to peak metamorphic heating.

standby for zag h3–4 component photo
Putative halite salts within the H3–4 matrix component (top portion) of a slice of Zag exhibiting oxidation from the terrestrial environment.
Specimen acquired from R.A. Langheinrich Meteorites

An alternative scenario was proposed by Fries et al. (2013), in which the halite was derived from a nearly pure NaCl-H2O brine on a large, ancient, cryovolcanically-active body such as the dwarf planet Ceres. Analogous geysering of water with embedded halides has been observed on Saturn's moon Enceladus (Zolensky et al., 2013). Queenie et al. (2018) propose an origin for the halite as a surface evaporite, while the primitive organic matter and the amino acids were possibly synthesized from formaldehyde and ammonia in a low-temperature aqueous environment. It is notable that the H-chondrite-like asteroid (6) Hebe has an orbit that overlaps that of Ceres, making Ceres a reasonable source for the exogenous halite. Such an orbital resemblance would also have been important to the preservation of halite crystals during low-impact transference from Ceres to Hebe (Fries et al., 2013).

standby for halite photo

The formation of halite on its original parent body might have occurred through aqueous alteration processes, initiated by aqueous fluid production through the dehydration of existing phyllosilicates in impact-heating events. Unlike the sylvite-containing halite crystals found in Monahans (1998), the high purity of the NaCl brine in Zag could indicate an origin through the evaporation and concentration of asteroidal impact-accumulated ices at a depth of a few km. As the halide brine became supersaturated, precipitation of halite occurred along with trapping of fluid inclusions at temperatures of <70°C; secondary fluid inclusions were trapped along fractures (Busfield et al., 2004). Subsequent impact gardening mixed the exogenous halite, H5–6 clasts, and H3–4 matrix material, and these components were emplaced together near the surface.

Another scenario for the production of halite was proposed by Jones et al. (2011). They suggest that increased heating at depth (i.e., involving the petrologic type 6 horizon) caused degassing and the production of a halogen-rich, water-poor fluid. Next, this fluid reacted with merrillite to form F,Cl-bearing apatite, which ultimately led to the consolidation of F in apatite and the enrichment of Cl in the fluid. As the Cl-rich fluid ascended into the horizon consisting of petrologic type 4 material, it infiltrated merrillite forming Cl-rich apatite which subsequently became enriched in Na. Thereafter, the fluid precipitated halite at the H4 horizon. The halite was formed after the silicates underwent thermal metamorphism but before brecciation of the matrix in the outer regolith 4.25 b.y. ago.

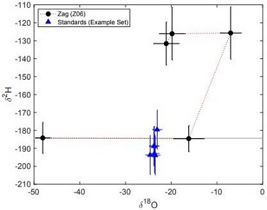
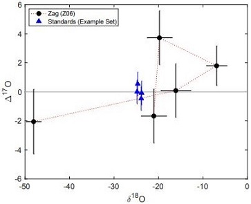
Isotopic analyses of O and H present in Zag and Monahans (1998) aqueous fluid inclusions (brines) in halite were conducted by Yurimoto et al. (2014) employing secondary ion mass spectrometry with cryogenic cooling. They obtained a uniquely wide range of values for both Δ17O (–20 to +30‰) and δD (–400 to +1300‰), which they attribute to water–rock processing involving cometary-delivered water on a carbonaceous chondrite asteroid (see diagram below). Thereafter, these precipitated halites were delivered through an impact event or through cryovolcanism to the H chondrite body.

standby for zag water o and h isotopes diagram
Diagram credit: Yurimoto et al., Geochemical Journal, vol. 48, p. 557 (2014, open access link)
'Isotopic compositions of asteroidal liquid water trapped in fluid inclusions of chondrites'
(https://doi.org/10.2343/geochemj.2.0335)

In a subsequent isotopic investigation of Zag water trapped in halite, Ogliore et al. (2019) employed cavity ring-down spectroscopy in a vacuum chamber. The resulting Δ17O value considered to be most precise is 3.7 (±1.9) ‰, while that for δD is –126 (±15) ‰ (see diagrams below).

standby for zag water o and h isotopes diagram standby for zag water o and h isotopes diagram
Diagrams credit: Ogliore et al., 82nd MetSoc, #6442 (2019)

The halite crystals in Zag (see photo below) attained their blue-to-purple coloration through cosmic-ray-induced electron trapping in Cl ions. Recent efforts to date these crystals in Zag have utilized radioisotope chronometry employing 129Xe data obtained from the halite. This isotope is produced by the decay of 129I (half-life = 16 m.y.) which was only present in the early Solar System. From the fixed rate of decay of 129I into 129Xe and the proportions of each isotope present in the halite, the age of the halite was calculated relative to other isotopic dating systems. An ancient age in the range of 4.561–4.559 b.y. was found, providing evidence that water was available on some asteroids only ~2 m.y. after the birth of the Solar System. Radioisotope studies also indicate that the I–Xe system was reset ~4.546 b.y. ago, likely by shock or aqueous alteration processes in an impact event that followed the deposition of halite (Ebisawa and Nagao, 2005).

Zag consists of four lithologies, representing types H4 through H6, that are present in the following approximate modal abundances: 65% light-colored, chondrule-bearing, angular clasts (S2–4); 25% gray-colored, chondrule-bearing, clastic matrix (S2–3); 10% dark-colored, chondrule-bearing, angular clasts (S4); and <1% impact-melt-rock clasts. If any original H3 material is still present, it is rare. Most lithologies exhibit various degrees of silicate darkening, produced from curvilinear blebs and veinlets of impact-mobilized FeNi-metal, troilite, and chromite within and around the silicates. The dark-blue halite crystals have been found only within the clastic matrix, which is also the site of solar noble gas concentrations. Many Zag fragments display slickensides, produced by the shearing motion of adjacent fault faces. This shearing motion is lubricated through the accumulation of very fine particles, resulting in a smooth polished surface. Consistent with the fact that Zag is a recent witnessed fall, it has a weathering grade of W0/1.

The S(IV)-type asteroid 6 Hebe is thought to be the probable parent body of the H-type ordinary chondrites, and possibly of the IIE iron meteorites as well. Hebe is a 116-mile-diameter asteroid located next to both the 3:1 and ν6 resonances, providing an efficient and rapid transfer mechanism into Earth-crossing orbit and a significant source of meteorites to Earth. Based on spectrographic and mineralogical data for more than 1,000 near-Earth asteroids, Binzel et al. (2016) determined the probable main belt source region for each of the ordinary chondrite groups (see diagram below).

standby for resonance diagram
Diagram credit: Binzel et al., 47th LPSC, #1352 (2016)

The average CRE age of Zag based on 3He, 21Ne, and 38Ar is calculated to be 5.1 (±0.5) m.y., close to the peak of the latest of the three breakup events determined for H chondrites (Eugster et al., 2007). It has been estimated that 6 Hebe could contribute ~10% of the meteorite flux to Earth and that it may be the source of one of the major ordinary chondrite groups. Models show that by mixing a component of 40% FeNi-metal with 60% H5 chondrite, an exact match to the spectra of 6 Hebe is produced. The IIE irons could then be created through impact melting on the metal-rich H chondrite parent body to produce melt sheets or pods near the surface. Read more about the formation of IIE irons on the Miles page.

Be that as it may, hydrocode models reveal inconsistencies between expected and observed CRE ages based on the scenario of direct injection into resonances. The steady delivery of H chondrite material from 6 Hebe to Earth also remains unexplained. Current studies by Rubin and Bottke (2009) have led to the conclusion that family-forming events resulting in large meteoroid reservoirs having homogeneous compositions, and which are located near dynamical resonances such as the Jupiter 3:1 mean motion resonance, are a more likely source of the most prevalent falls including the H chondrites. See further details on the NWA 2898 page. The specimen of Zag shown above is a 1.0 g fragment displaying signs of brecciation.

standby for zag salt photo
A section of Zag displaying blue halite crystals.
Photo by Walt Radomsky. Courtesy of R. A. Langheinrich Meteorites